From Found to Cited: An Analysis of ChatGPT Ranking Factors (400K Pages Studied)
ChatGPT has become a new layer of search. Millions of people turn to ChatGPT every day, and with each question, the model decides which sources to trust, summarize, and cite. Behind every answer lies a quiet selection process where dozens of pages are reviewed and compared, but only a few make it into the final response.
What makes ChatGPT choose one source over another when both were already considered equally relevant? That question became the starting point of our analysis.
To find out, we analyzed more than 400,000 URLs across 10,000 different queries, studying how ChatGPT's grounded responses select which links to cite. Our goal was to understand what determines whether a URL, once found by ChatGPT, becomes one of the few chosen to appear in the final answer.
In the process, we discovered a clear strategy to maximize the probability of your page being cited once your content is found.
In this post, we'll outline the practical steps you can take to increase your chances of ranking higher in ChatGPT.
Top Takeaways: Practical Advice to Rank on ChatGPT
Our objective was simple: identify the key factors that determine whether a page, once found by ChatGPT, will be cited to answer a specific search.

Key Finding Summary
After clustering all extracted features, five dominant dimensions emerged that determine ChatGPT citations:
- AI Response Alignment (Content-Answer Fit): 55% relevance
- On-Page Structure: 14% relevance
- Domain Authority: 12% relevance
- Query Relevance (Search Intent Matching): 12% relevance
- Content Consensus (Agreement Score): 7% relevance
Across all these factors, one insight stood out clearly. The strongest predictor of being cited is Content-Answer Fit: how well your content aligns with ChatGPT's own answers for that query. When your page, from title and meta description to tone and paragraph structure, mirrors the way ChatGPT writes, your probability of citation rises significantly.
What the Data Shows: Ranking Factors for ChatGPT
When comparing all retrieved pages with those ultimately cited, five clear behaviors emerged.
The first and most powerful signal is how closely a page's content aligns with the type of answer ChatGPT provides. The model tends to cite content that already sounds like the explanation it wants to give. The closer your writing mirrors its own explanatory style, the higher your visibility.
| Ranking Factor | Relevance | Primary Impact | Optimization Priority |
|---|---|---|---|
| Content-Answer Fit | 55% | Citation likelihood | Critical |
| On-Page Structure | 14% | Parseability & summarization | High |
| Domain Authority | 12% | Retrieval probability | Medium |
| Query Relevance | 12% | Search intent matching | Medium |
| Content Consensus | 7% | Reliability validation | Medium |
On-page structure also matters. Just like in traditional SEO, clean formatting and clear hierarchy make a difference. ChatGPT favors pages with logical topic segmentation and balanced length. They are easier for the model to parse, summarize, and cite.
Domain authority continues to play a role, but mainly in the retrieval stage rather than the citation stage. Strong domain metrics increase the chances of your page being found by ChatGPT's internal search engine and shown to the AI, but they do not determine whether it will be cited by it.
Query relevance, or how well a page matches the original search intent, is still important but has a smaller impact compared to alignment. Query relevance helps your content get retrieved, while response alignment determines whether it will be cited.
Finally, content consensus plays a key role in how ChatGPT validates information. When several retrieved pages present similar facts or reasoning, ChatGPT interprets that convergence as a sign of reliability and often cites one or more of those pages. This consensus acts as a form of collective trust within the retrieval set.
In the following sections, we will explore how to strengthen each of these factors to maximize the probability of being cited by ChatGPT.
How Does ChatGPT Rank Work
Before diving into the details of the analysis, it is important to understand how ChatGPT ranks and cites information when a user searches for something.

When ChatGPT receives a question, it does not rely on a single source. Instead, for grounded queries, the ones where it searches the web to support its answer, it follows a multi-step process that combines search and synthesis.
- Step 1 – User Query
A user types a question or prompt. - Step 2 – Retrieval
ChatGPT uses its integrated search engine to ground its response, collecting a large set of pages indexed by OpenAI. This is the stage where domain authority, query relevance, and content quality influence whether a page enters the retrieved pool. - Step 3 – Synthesis and Citation (Augmented Generation)
ChatGPT analyzes the retrieved information, summarizes it, and generates a unified response. Only a small selection of pages is cited in the final output, representing the sources that the model considers most aligned and trustworthy.
Our analysis focuses on the transition between Step 2 and Step 3, the subtle but critical point where ChatGPT moves from simply retrieving pages to actively citing them as part of its answer.
Research methodology
We used ChatGPT APIs to collect grounded responses for more than 1,000 unique prompts. Each prompt was repeated ten times to ensure statistical significance, resulting in a dataset of over 10,000 queries and more than 400,000 retrieved pages.
For each page, we extracted more than 70 data points (features) describing its content, structure, and domain context. Using this dataset, we trained a machine learning model to understand which factors drive the transition from retrieving to citing a page.
Feature extraction
- Topic clustering: Many of the most important features measure how the topics of a content piece, the user query, and the generated answer relate to each other. We transformed all texts into embedding vectors and calculated cosine similarity across content-to-query, content-to-answer, and content-to-content pairs. These relationships captured the overall semantic alignment within the retrieved set and with the model's own responses.
- Domain data: We used DataForSEO APIs to extract attributes such as domain authority, backlink count, and overall visibility.
- Structure and content: We scraped each page to capture on-page details including titles, H1 and H2 structure, word count, and other length and formatting metrics.
We then trained a model to predict the likelihood of a page being cited. It achieved an F1 score of 74%, showing that ChatGPT's citation behavior is not random, and can be modeled.
From this model, we identified which features and clusters have the strongest influence on citation likelihood. This combination of topic, domain, and structural signals made it possible to determine not only what is cited, but why certain pages consistently outperform others once retrieved by ChatGPT.
What You Can Do to Increase Your Chances to Rank on ChatGPT
Once you understand how ChatGPT retrieves and cites content, the next step is applying those insights to your own site. The following five factors represent the strongest levers to improve your chances of being cited once your page has already been found. Each one addresses a different part of how ChatGPT evaluates, summarizes, and ultimately chooses sources to include in its final answers.
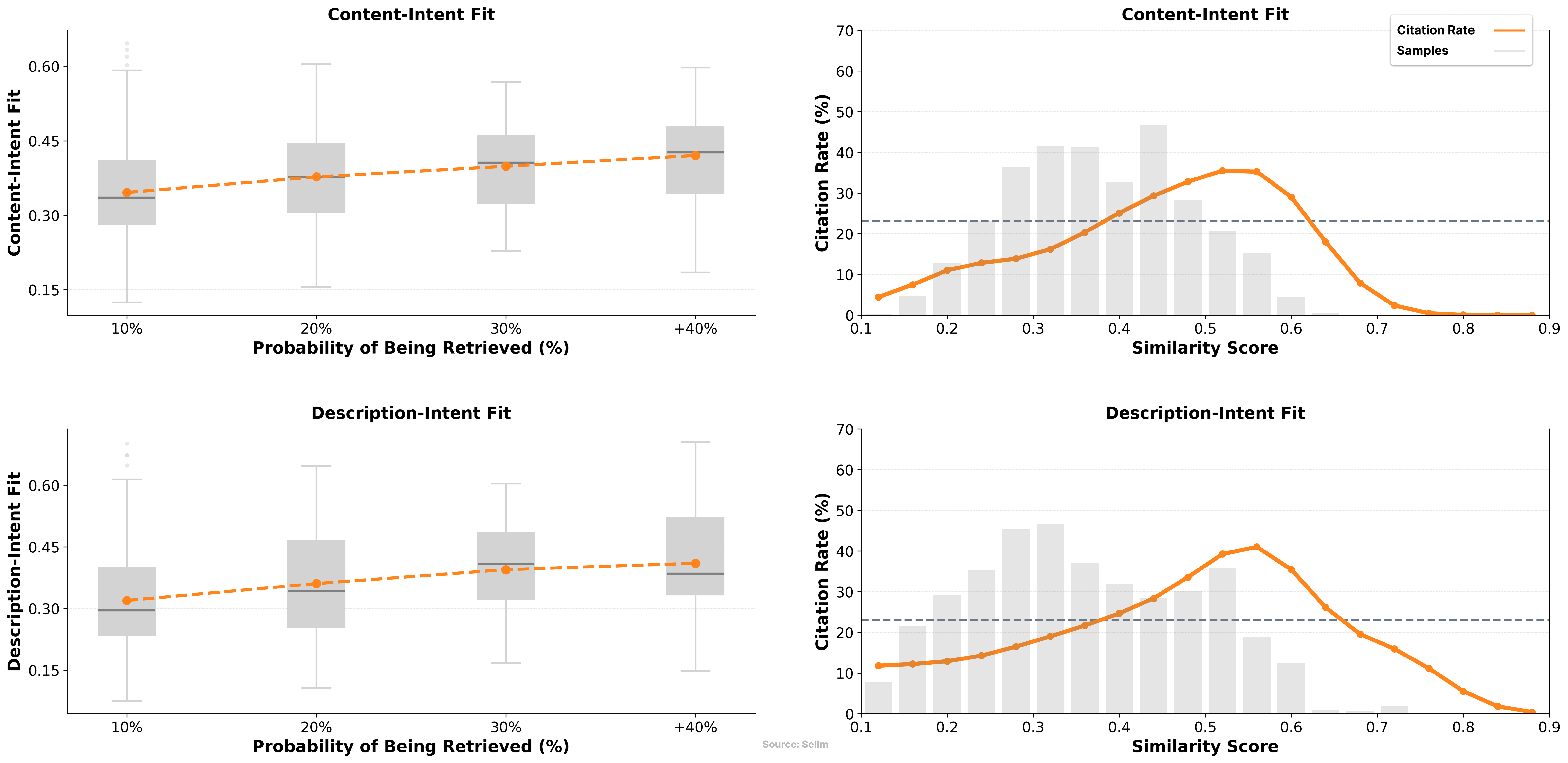
1. Content-Answer Fit is Everything to Rank on ChatGPT
Key Insight: Content-Answer Fit was by far the most revealing part of the analysis. It showed the highest predictive power among all clusters, accounting for 55% of the model's overall relevance.
In traditional SEO, content is optimized to match what users search for, focusing on query intent. With ChatGPT, we can go one step further. What matters most is not just what the user wants to know, but how the model itself decides to answer that intent.
A page can perfectly match the search query and still not be cited. The difference lies in how closely the content anticipates the structure, phrasing, and reasoning pattern that ChatGPT will use when formulating its response.
In other words, ChatGPT does not only look for relevant pages. It looks for content that already sounds like its own answer.
This raises a fair question: could the correlation simply come from ChatGPT quoting or paraphrasing the same text it cites? To rule out that bias, we compared the similarity between page content and ChatGPT's final answer both when the model's search context was active (when it had access to retrieved information) and when it was not. The results (below) show that the effect holds in both cases, confirming that high Content-Answer Fit reflects genuine alignment with ChatGPT's reasoning process, not mere textual overlap.
Modeling in Depth
To understand how content-answer fit influences citation, we compared the alignment between all retrieved pages (both cited and non-cited) and ChatGPT's own generated responses. We evaluated several dimensions:
- How the page content relates to ChatGPT's response structure, for both grounded (with search) and non-grounded (pure model) outputs
- How the title aligns with ChatGPT's framing of the topic
- How the meta description aligns semantically with the model's short-answer summary

By analyzing the distribution of alignment scores across all retrieved content and ChatGPT's responses, we found a consistent pattern. The closer the structure and semantics of a page matched ChatGPT's own style, the more likely it was to be cited.
In short, alignment wins. The takeaway is simple but powerful: the more your content reads like ChatGPT's own answer, the more ChatGPT treats it as part of its trusted base of truth.
2. On-page Structure Makes You Easier to Cite
On-Page Structure remains one of the few traditional SEO factors that translates directly into ChatGPT's citation behavior. It showed a predictive relevance of 14% in our model.
Good use of H1, H2, and H3 tags, consistent title formatting, and well-balanced content length all increase the chances of being cited. ChatGPT favors pages with clear section hierarchies, especially those that use multiple H2s to organize information logically.

The reason is simple. Well-structured content is easier for the model to parse, summarize, and cite accurately. It is not only about readability for human users, but also about interpretability for AI. Structure makes the information more accessible for both.
3. Domain Authority Opens the Door, Not the Seat
Domain Authority still plays a role, but a very different one compared to traditional search rankings. It accounted for 12% of predictive power in our model.
In the context of ChatGPT, authority mainly influences which pages get retrieved, not which ones get cited. High-authority domains are overrepresented in the initial retrieval pool, but once a page is under consideration, its domain strength becomes secondary.

A smaller site that matches the expected answer pattern can outperform a well-known domain that does not. In simple terms, authority opens the door, but it does not guarantee a seat at the table.
ChatGPT's decision to cite a source depends much more on alignment and structure than on reputation or link profile. This may seem counterintuitive from a classic SEO perspective, but it reflects how language models process trust. They do not rank based on backlinks. Instead, they trust information that is consistent and repeated multiple times within the set of retrieved responses.
4. Query Relevance Gets You Considered
Query relevance continues to be an important factor, although its influence is smaller compared to its alignment with the AI answer. It accounted for 12% of predictive power in our model.

In traditional search, query relevance defines how well a page matches the intent behind a user's question. The same principle applies within ChatGPT's retrieval process. Pages that closely match the search intent are more likely to be included in the retrieved pool.
However, once a page is retrieved, matching intent alone is not enough to be cited. ChatGPT's decision to reference a source depends much more on how well the content aligns with the way the model itself answers that query.
Query relevance helps your content get retrieved, while a good fit between your content and the AI answer determines whether it will be cited.
This shift highlights the new logic of generative ranking. Just like domain authority, query relevance plays its main role in the retrieval stage. Intent matching gets you considered, while alignment earns you a place in the final answer.
5. Consensus with Other Sources Wins Trust
Content Consensus plays a smaller but important role in how ChatGPT decides which pages to cite. It accounted for 7% of predictive power in our model.

ChatGPT does not evaluate a page in isolation. It evaluates it in the context of everything else retrieved for the same query. Our data shows that this relational evaluation is one of the strongest underlying behaviors in grounded citations.
When several pages present similar perspectives, claims, or explanations, ChatGPT interprets that convergence as validation. Pages that belong to this consensus cluster are significantly more likely to be cited.
This pattern suggests that language models use consensus as a proxy for reliability. When multiple independent sources agree, the information appears more trustworthy, less likely to be hallucinated, and safer for grounding in the final answer.
Conclusion
Our findings show that ChatGPT's citations are not random. They follow clear, measurable patterns that reveal a fundamental shift in how visibility works inside generative search.
Traditional SEO still matters in the retrieval stage. Query intent and domain authority determine which pages are initially found. However, once a page enters the retrieved pool, a different logic takes over. At that point, alignment and structure decide which of those pages will actually be cited.
The strongest factor by far is Content-Answer Fit, supported by secondary structural and reputational dimensions. In essence, ChatGPT rewards content that:
- Mirrors its explanatory style
- Is well structured and easy to parse
- Belongs to a corroborated set of credible sources
By shaping your content with these qualities, you move from being merely found to being cited, the new measure of trust and visibility in generative search.
Practical Checklist for Your Site
If you want your pages to have the best chance of being surfaced and cited by ChatGPT and search engines, here's a practical checklist to guide your next steps:
- Align your content with ChatGPT responses and other citations: Use the Sellm ChatGPT Audit Tool to analyze your pages and identify what helps or hinders their likelihood of being referenced, with tailored optimization insights.
- Write pages that clearly answer user questions: Focus on providing direct, structured answers with clear headings that match real search intent.
- Build credible backlinks: Earn mentions or citations from reputable sites in your industry (blogs, media outlets, or partners).
- Monitor and track your visibility: Use the Sellm ChatGPT Tracker to see when your content is mentioned or cited in ChatGPT responses, and combine this with regular checks of your search rankings for relevant queries.
Future of citations
As language models continue to evolve, hallucinations still occur, which means grounded answers that cite external sources are here to stay. Citations remain essential for transparency, reliability, and user trust.
When the grounded generation first appeared, many believed that citations were a temporary feature. The expectation was that as models improved, they would rely less on external data and more on their internal knowledge. What we are seeing now is the opposite. As models become more capable, their reliance on citations is increasing.
Citations are not a limitation of large language models; they are becoming their credibility layer.
They show where information comes from, reduce hallucination risk, and build verifiable connections between generated text and factual sources.
As this new layer of search takes shape, SEO strategy can no longer stop at optimizing for rankings alone. It must now consider how content performs within generative systems, how it is retrieved, interpreted, and ultimately cited. Those who adapt their strategy to this two-step model, optimizing first for retrieval and then for alignment, will shape how information is surfaced and trusted in the age of AI-driven search.
Frequently Asked Questions
What is the most important factor for ranking in ChatGPT?▼
Content-Answer Fit is the most important factor, accounting for 55% of relevance in our model. Your content needs to align with how ChatGPT formulates its responses - matching the structure, phrasing, and reasoning patterns the model uses when answering queries.
How does domain authority affect ChatGPT citations?▼
Domain authority (12% relevance) mainly influences retrieval rather than citation. High-authority domains are more likely to be found by ChatGPT's search engine, but once retrieved, citation decisions depend more on content alignment and structure.
What is Content-Answer Fit in ChatGPT optimization?▼
Content-Answer Fit measures how closely your content aligns with ChatGPT's own response style. When your page structure, tone, and phrasing mirror how ChatGPT writes, your probability of being cited increases significantly. It's about matching the AI's explanatory patterns.
How was this ChatGPT ranking study conducted?▼
We analyzed over 400,000 URLs across 10,000 queries using ChatGPT APIs. Each prompt was repeated 10 times for statistical significance. We extracted 70+ features per page and trained a machine learning model that achieved 74% F1 score in predicting citations.
What role does on-page structure play in ChatGPT rankings?▼
On-page structure accounts for 14% of predictive relevance. ChatGPT favors pages with clear H1/H2/H3 hierarchies, consistent formatting, and balanced content length. Well-structured content is easier for the model to parse, summarize, and cite accurately.
How can I track my ChatGPT rankings?▼
Use specialized tools like Sellm's ChatGPT Tracker to monitor your brand's visibility and citation frequency in ChatGPT responses. Regular tracking helps you understand which content strategies are working and where improvements are needed.
Does traditional SEO still matter for ChatGPT?▼
Yes, traditional SEO fundamentals (query relevance, domain authority, technical SEO) remain important for the retrieval stage. However, they're not enough for citations. You need to optimize for both retrieval (traditional SEO) and citation (Content-Answer Fit and structure).
Ready to Optimize for ChatGPT?
Track your brand's visibility in ChatGPT responses and get actionable insights to improve your AI search rankings.
Try Sellm ChatGPT Tracker