De Trouvé à Cité : Une Analyse des Facteurs de Classement ChatGPT (400K Pages Étudiées)
ChatGPT est devenu une nouvelle couche de recherche. Des millions de personnes se tournent vers ChatGPT chaque jour, et à chaque question, le modèle décide quelles sources faire confiance, résumer et citer. Derrière chaque réponse se cache un processus de sélection silencieux où des dizaines de pages sont examinées et comparées, mais seulement quelques-unes parviennent à la réponse finale.
Qu'est-ce qui pousse ChatGPT à choisir une source plutôt qu'une autre lorsque les deux étaient déjà considérées comme également pertinentes ? Cette question est devenue le point de départ de notre analyse.
Pour le découvrir, nous avons analysé plus de 400 000 URLs sur 10 000 requêtes différentes, en étudiant comment les réponses ancrées de ChatGPT sélectionnent quels liens citer. Notre objectif était de comprendre ce qui détermine si une URL, une fois trouvée par ChatGPT, devient l'une des rares choisies pour apparaître dans la réponse finale.
Dans ce processus, nous avons découvert une stratégie claire pour maximiser la probabilité que votre page soit citée une fois que votre contenu est trouvé.
Dans cet article, nous décrirons les étapes pratiques que vous pouvez prendre pour augmenter vos chances de mieux vous classer dans ChatGPT.
Principales Conclusions : Conseils Pratiques pour se Classer sur ChatGPT
Notre objectif était simple : identifier les facteurs clés qui déterminent si une page, une fois trouvée par ChatGPT, sera citée pour répondre à une recherche spécifique.
Résumé des Principales Découvertes
Après le regroupement de toutes les caractéristiques extraites, cinq dimensions dominantes ont émergé qui déterminent les citations ChatGPT :
- Alignement des Réponses IA (Adéquation Contenu-Réponse) : 55% de pertinence
- Structure On-Page : 14% de pertinence
- Autorité du Domaine : 12% de pertinence
- Pertinence de la Requête (Correspondance de l'Intention de Recherche) : 12% de pertinence
- Consensus du Contenu (Score d'Accord) : 7% de pertinence
À travers tous ces facteurs, un aperçu s'est clairement démarqué. Le prédicteur le plus fort d'être cité est l'Adéquation Contenu-Réponse : à quel point votre contenu s'aligne avec les propres réponses de ChatGPT pour cette requête. Lorsque votre page, du titre et de la méta-description au ton et à la structure des paragraphes, reflète la façon dont ChatGPT écrit, votre probabilité de citation augmente considérablement.
Ce que Montrent les Données : Facteurs de Classement pour ChatGPT
En comparant toutes les pages récupérées avec celles finalement citées, cinq comportements clairs ont émergé.
Le premier et le plus puissant signal est à quel point le contenu d'une page s'aligne avec le type de réponse que ChatGPT fournit. Le modèle a tendance à citer du contenu qui ressemble déjà à l'explication qu'il veut donner. Plus votre écriture reflète son propre style explicatif, plus votre visibilité est élevée.
| Facteur de Classement | Pertinence | Impact Principal | Priorité d'Optimisation |
|---|---|---|---|
| Adéquation Contenu-Réponse | 55% | Probabilité de citation | Critique |
| Structure On-Page | 14% | Analyse & résumé | Élevée |
| Autorité du Domaine | 12% | Probabilité de récupération | Moyenne |
| Pertinence de la Requête | 12% | Correspondance de l'intention de recherche | Moyenne |
| Consensus du Contenu | 7% | Validation de la fiabilité | Moyenne |
La structure on-page compte également. Tout comme dans le SEO traditionnel, un formatage propre et une hiérarchie claire font la différence. ChatGPT favorise les pages avec une segmentation logique des sujets et une longueur équilibrée. Elles sont plus faciles pour le modèle à analyser, résumer et citer.
L'autorité du domaine continue de jouer un rôle, mais principalement au stade de la récupération plutôt qu'au stade de la citation. Des métriques de domaine solides augmentent les chances que votre page soit trouvée par le moteur de recherche interne de ChatGPT et montrée à l'IA, mais elles ne déterminent pas si elle sera citée par celle-ci.
La pertinence de la requête, ou à quel point une page correspond à l'intention de recherche originale, reste importante mais a un impact plus faible par rapport à l'alignement. La pertinence de la requête aide votre contenu à être récupéré, tandis que l'alignement de la réponse détermine s'il sera cité.
Enfin, le consensus du contenu joue un rôle clé dans la façon dont ChatGPT valide les informations. Lorsque plusieurs pages récupérées présentent des faits ou un raisonnement similaires, ChatGPT interprète cette convergence comme un signe de fiabilité et cite souvent une ou plusieurs de ces pages. Ce consensus agit comme une forme de confiance collective au sein de l'ensemble récupéré.
Dans les sections suivantes, nous explorerons comment renforcer chacun de ces facteurs pour maximiser la probabilité d'être cité par ChatGPT.
Comment Fonctionne le Classement ChatGPT
Avant de plonger dans les détails de l'analyse, il est important de comprendre comment ChatGPT classe et cite les informations lorsqu'un utilisateur recherche quelque chose.
Lorsque ChatGPT reçoit une question, il ne s'appuie pas sur une seule source. Au lieu de cela, pour les requêtes ancrées, celles où il recherche sur le web pour étayer sa réponse, il suit un processus en plusieurs étapes qui combine recherche et synthèse.
- Étape 1 – Requête Utilisateur
Un utilisateur tape une question ou un prompt. - Étape 2 – Récupération
ChatGPT utilise son moteur de recherche intégré pour ancrer sa réponse, collectant un grand ensemble de pages indexées par OpenAI. C'est à ce stade que l'autorité du domaine, la pertinence de la requête et la qualité du contenu influencent si une page entre dans le pool récupéré. - Étape 3 – Synthèse et Citation (Génération Augmentée)
ChatGPT analyse les informations récupérées, les résume et génère une réponse unifiée. Seule une petite sélection de pages est citée dans la sortie finale, représentant les sources que le modèle considère comme les plus alignées et fiables.
Notre analyse se concentre sur la transition entre l'Étape 2 et l'Étape 3, le point subtil mais critique où ChatGPT passe de simplement récupérer des pages à les citer activement dans le cadre de sa réponse.
Méthodologie de Recherche
Nous avons utilisé les APIs ChatGPT pour collecter des réponses ancrées pour plus de 1 000 prompts uniques. Chaque prompt a été répété dix fois pour assurer la signification statistique, résultant en un ensemble de données de plus de 10 000 requêtes et plus de 400 000 pages récupérées.
Pour chaque page, nous avons extrait plus de 70 points de données (caractéristiques) décrivant son contenu, sa structure et son contexte de domaine. En utilisant cet ensemble de données, nous avons entraîné un modèle d'apprentissage automatique pour comprendre quels facteurs conduisent la transition de la récupération à la citation d'une page.
Extraction de Caractéristiques
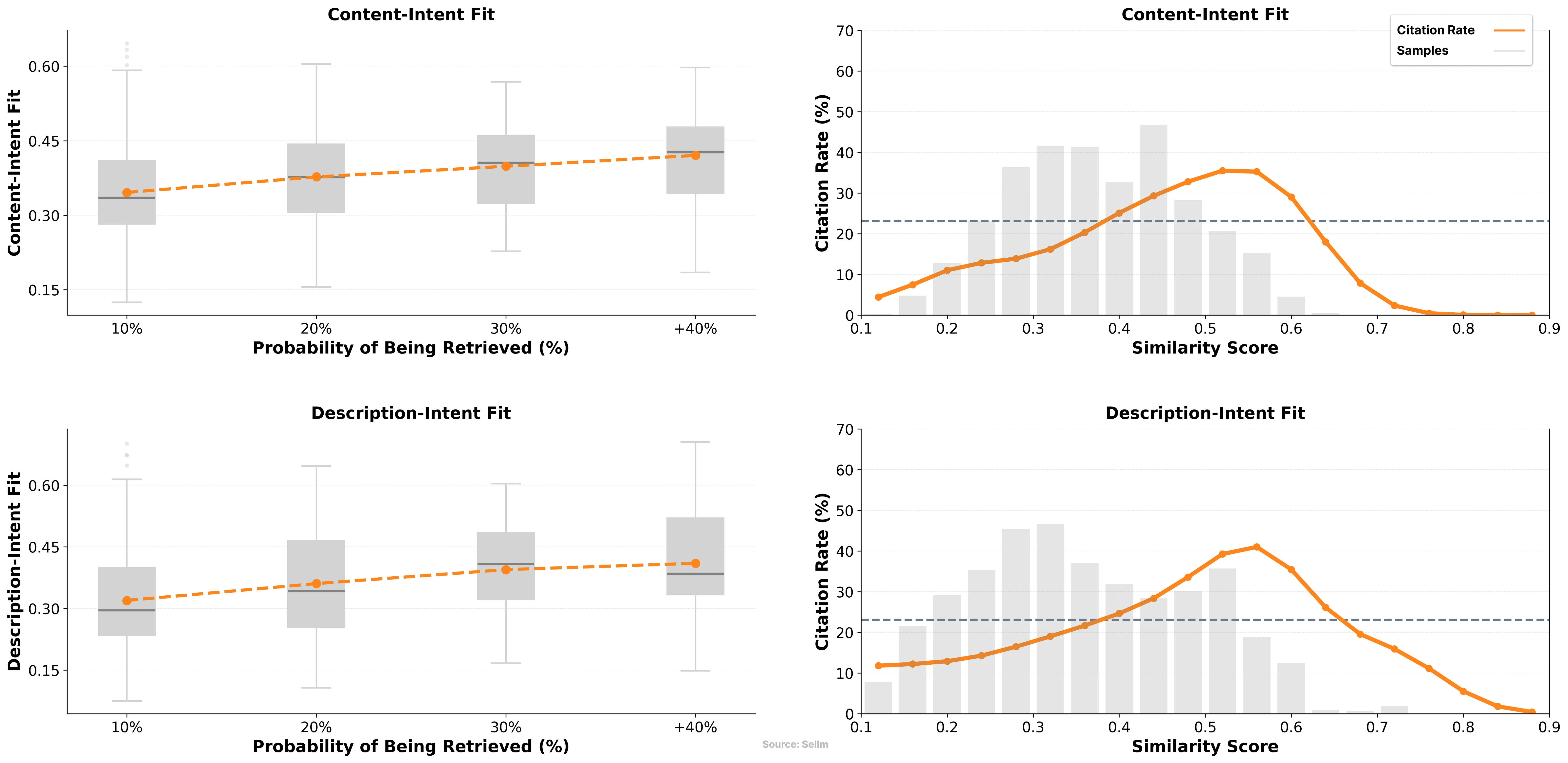
- Regroupement de sujets : Beaucoup des caractéristiques les plus importantes mesurent comment les sujets d'un contenu, la requête utilisateur et la réponse générée sont liés les uns aux autres. Nous avons transformé tous les textes en vecteurs d'embedding et calculé la similarité cosinus entre les paires contenu-requête, contenu-réponse et contenu-contenu. Ces relations ont capturé l'alignement sémantique global au sein de l'ensemble récupéré et avec les propres réponses du modèle.
- Données de domaine : Nous avons utilisé les APIs DataForSEO pour extraire des attributs tels que l'autorité du domaine, le nombre de backlinks et la visibilité globale.
- Structure et contenu : Nous avons scrapé chaque page pour capturer les détails on-page incluant les titres, la structure H1 et H2, le nombre de mots et d'autres métriques de longueur et de formatage.
Nous avons ensuite entraîné un modèle pour prédire la probabilité qu'une page soit citée. Il a atteint un score F1 de 74%, montrant que le comportement de citation de ChatGPT n'est pas aléatoire et peut être modélisé.
À partir de ce modèle, nous avons identifié quelles caractéristiques et quels clusters ont la plus forte influence sur la probabilité de citation. Cette combinaison de signaux de sujet, de domaine et structurels a permis de déterminer non seulement ce qui est cité, mais pourquoi certaines pages surperforment constamment d'autres une fois récupérées par ChatGPT.
Ce Que Vous Pouvez Faire pour Augmenter Vos Chances de vous Classer sur ChatGPT
Une fois que vous comprenez comment ChatGPT récupère et cite le contenu, l'étape suivante consiste à appliquer ces aperçus à votre propre site. Les cinq facteurs suivants représentent les leviers les plus puissants pour améliorer vos chances d'être cité une fois que votre page a déjà été trouvée. Chacun aborde une partie différente de la façon dont ChatGPT évalue, résume et choisit finalement les sources à inclure dans ses réponses finales.
1. L'Adéquation Contenu-Réponse est Tout pour se Classer sur ChatGPT
Aperçu Clé : L'Adéquation Contenu-Réponse était de loin la partie la plus révélatrice de l'analyse. Il a montré le pouvoir prédictif le plus élevé parmi tous les clusters, représentant 55% de la pertinence globale du modèle.
Dans le SEO traditionnel, le contenu est optimisé pour correspondre à ce que les utilisateurs recherchent, en se concentrant sur l'intention de la requête. Avec ChatGPT, nous pouvons aller un pas plus loin. Ce qui compte le plus n'est pas seulement ce que l'utilisateur veut savoir, mais comment le modèle lui-même décide de répondre à cette intention.
Une page peut parfaitement correspondre à la requête de recherche et ne pas être citée. La différence réside dans à quel point le contenu anticipe la structure, le phrasé et le modèle de raisonnement que ChatGPT utilisera lors de la formulation de sa réponse.
En d'autres termes, ChatGPT ne cherche pas seulement des pages pertinentes. Il cherche du contenu qui ressemble déjà à sa propre réponse.
Cela soulève une question légitime : la corrélation pourrait-elle simplement provenir du fait que ChatGPT cite ou paraphrase le même texte qu'il cite ? Pour exclure ce biais, nous avons comparé la similarité entre le contenu de la page et la réponse finale de ChatGPT à la fois lorsque le contexte de recherche du modèle était actif (lorsqu'il avait accès aux informations récupérées) et lorsqu'il ne l'était pas. Les résultats (ci-dessous) montrent que l'effet tient dans les deux cas, confirmant qu'une Adéquation Contenu-Réponse élevée reflète un alignement authentique avec le processus de raisonnement de ChatGPT, et non un simple chevauchement textuel.
Modélisation en Profondeur
Pour comprendre comment l'ajustement contenu-réponse influence la citation, nous avons comparé l'alignement entre toutes les pages récupérées (citées et non citées) et les propres réponses générées de ChatGPT. Nous avons évalué plusieurs dimensions :
- Comment le contenu de la page se rapporte à la structure de réponse de ChatGPT, pour les sorties ancrées (avec recherche) et non ancrées (modèle pur)
- Comment le titre s'aligne avec le cadrage du sujet par ChatGPT
- Comment la méta-description s'aligne sémantiquement avec le résumé de réponse courte du modèle
En analysant la distribution des scores d'alignement à travers tout le contenu récupéré et les réponses de ChatGPT, nous avons trouvé un modèle cohérent. Plus la structure et la sémantique d'une page correspondaient au propre style de ChatGPT, plus elle était susceptible d'être citée.
En bref, l'alignement gagne. La conclusion est simple mais puissante : plus votre contenu ressemble à la propre réponse de ChatGPT, plus ChatGPT le traite comme faisant partie de sa base de vérité de confiance.
2. La Structure On-Page Vous Rend Plus Facile à Citer
La Structure On-Page reste l'un des rares facteurs SEO traditionnels qui se traduit directement dans le comportement de citation de ChatGPT. Elle a montré une pertinence prédictive de 14% dans notre modèle.
Une bonne utilisation des balises H1, H2 et H3, un formatage de titre cohérent et une longueur de contenu bien équilibrée augmentent tous les chances d'être cité. ChatGPT favorise les pages avec des hiérarchies de section claires, en particulier celles qui utilisent plusieurs H2 pour organiser les informations logiquement.
La raison est simple. Le contenu bien structuré est plus facile pour le modèle à analyser, résumer et citer avec précision. Il ne s'agit pas seulement de lisibilité pour les utilisateurs humains, mais aussi d'interprétabilité pour l'IA. La structure rend l'information plus accessible pour les deux.
3. L'Autorité du Domaine Ouvre la Porte, Pas le Siège
L'Autorité du Domaine joue toujours un rôle, mais un rôle très différent par rapport aux classements de recherche traditionnels. Elle représentait 12% du pouvoir prédictif dans notre modèle.
Dans le contexte de ChatGPT, l'autorité influence principalement quelles pages sont récupérées, pas lesquelles sont citées. Les domaines à haute autorité sont surreprésentés dans le pool de récupération initial, mais une fois qu'une page est en considération, sa force de domaine devient secondaire.
Un site plus petit qui correspond au modèle de réponse attendu peut surperformer un domaine bien connu qui ne le fait pas. En termes simples, l'autorité ouvre la porte, mais elle ne garantit pas une place à la table.
La décision de ChatGPT de citer une source dépend beaucoup plus de l'alignement et de la structure que de la réputation ou du profil de liens. Cela peut sembler contre-intuitif d'une perspective SEO classique, mais cela reflète comment les modèles de langage traitent la confiance. Ils ne classent pas basés sur les backlinks. Au lieu de cela, ils font confiance aux informations qui sont cohérentes et répétées plusieurs fois dans l'ensemble des réponses récupérées.
4. La Pertinence de la Requête Vous Fait Considérer
La pertinence de la requête continue d'être un facteur important, bien que son influence soit plus petite par rapport à son alignement avec la réponse IA. Elle représentait 12% du pouvoir prédictif dans notre modèle.
Dans la recherche traditionnelle, la pertinence de la requête définit à quel point une page correspond à l'intention derrière la question d'un utilisateur. Le même principe s'applique dans le processus de récupération de ChatGPT. Les pages qui correspondent étroitement à l'intention de recherche sont plus susceptibles d'être incluses dans le pool récupéré.
Cependant, une fois qu'une page est récupérée, correspondre à l'intention seule n'est pas suffisant pour être citée. La décision de ChatGPT de référencer une source dépend beaucoup plus de la façon dont le contenu s'aligne avec la façon dont le modèle lui-même répond à cette requête.
La pertinence de la requête aide votre contenu à être récupéré, tandis qu'un bon ajustement entre votre contenu et la réponse IA détermine s'il sera cité.
Ce changement met en évidence la nouvelle logique du classement génératif. Tout comme l'autorité du domaine, la pertinence de la requête joue son rôle principal au stade de la récupération. La correspondance d'intention vous fait considérer, tandis que l'alignement vous gagne une place dans la réponse finale.
5. Le Consensus avec D'Autres Sources Gagne la Confiance
Le Consensus du Contenu joue un rôle plus petit mais important dans la façon dont ChatGPT décide quelles pages citer. Il représentait 7% du pouvoir prédictif dans notre modèle.
ChatGPT n'évalue pas une page isolément. Il l'évalue dans le contexte de tout le reste récupéré pour la même requête. Nos données montrent que cette évaluation relationnelle est l'un des comportements sous-jacents les plus forts dans les citations ancrées.
Lorsque plusieurs pages présentent des perspectives, des affirmations ou des explications similaires, ChatGPT interprète cette convergence comme une validation. Les pages qui appartiennent à ce cluster de consensus sont significativement plus susceptibles d'être citées.
Ce modèle suggère que les modèles de langage utilisent le consensus comme un proxy pour la fiabilité. Lorsque plusieurs sources indépendantes sont d'accord, l'information apparaît plus digne de confiance, moins susceptible d'être hallucinée, et plus sûre pour l'ancrage dans la réponse finale.
Conclusion
Nos résultats montrent que les citations de ChatGPT ne sont pas aléatoires. Elles suivent des modèles clairs et mesurables qui révèlent un changement fondamental dans la façon dont la visibilité fonctionne à l'intérieur de la recherche générative.
Le SEO traditionnel compte toujours au stade de la récupération. L'intention de la requête et l'autorité du domaine déterminent quelles pages sont initialement trouvées. Cependant, une fois qu'une page entre dans le pool récupéré, une logique différente prend le dessus. À ce moment-là, l'alignement et la structure décident lesquelles de ces pages seront réellement citées.
Le facteur le plus fort de loin est l'Adéquation Contenu-Réponse, soutenu par des dimensions structurelles et réputationnelles secondaires. En essence, ChatGPT récompense le contenu qui :
- Reflète son style explicatif
- Est bien structuré et facile à analyser
- Appartient à un ensemble corroboré de sources crédibles
En façonnant votre contenu avec ces qualités, vous passez d'être simplement trouvé à être cité, la nouvelle mesure de confiance et de visibilité dans la recherche générative.
Liste de Vérification Pratique pour Votre Site
Si vous voulez que vos pages aient les meilleures chances d'être mises en avant et citées par ChatGPT et les moteurs de recherche, voici une liste de vérification pratique pour guider vos prochaines étapes :
- Alignez votre contenu avec les réponses ChatGPT et autres citations : Utilisez l'Outil d'Audit ChatGPT de Sellm pour analyser vos pages et identifier ce qui aide ou entrave leur probabilité d'être référencées, avec des aperçus d'optimisation sur mesure.
- Écrivez des pages qui répondent clairement aux questions des utilisateurs : Concentrez-vous sur la fourniture de réponses directes et structurées avec des titres clairs qui correspondent à l'intention de recherche réelle.
- Construisez des backlinks crédibles : Gagnez des mentions ou citations de sites réputés dans votre industrie (blogs, médias ou partenaires).
- Surveillez et suivez votre visibilité : Utilisez le Tracker ChatGPT de Sellm pour voir quand votre contenu est mentionné ou cité dans les réponses ChatGPT, et combinez cela avec des vérifications régulières de vos classements de recherche pour les requêtes pertinentes.
L'Avenir des Citations
Alors que les modèles de langage continuent d'évoluer, les hallucinations se produisent encore, ce qui signifie que les réponses ancrées qui citent des sources externes sont là pour rester. Les citations restent essentielles pour la transparence, la fiabilité et la confiance des utilisateurs.
Lorsque la génération ancrée est apparue pour la première fois, beaucoup croyaient que les citations étaient une fonctionnalité temporaire. L'attente était qu'à mesure que les modèles s'amélioraient, ils s'appuieraient moins sur les données externes et plus sur leurs connaissances internes. Ce que nous voyons maintenant est l'inverse. À mesure que les modèles deviennent plus capables, leur dépendance aux citations augmente.
Les citations ne sont pas une limitation des grands modèles de langage ; elles deviennent leur couche de crédibilité.
Elles montrent d'où viennent les informations, réduisent le risque d'hallucination et construisent des connexions vérifiables entre le texte généré et les sources factuelles.
Alors que cette nouvelle couche de recherche prend forme, la stratégie SEO ne peut plus s'arrêter à l'optimisation des classements seuls. Elle doit maintenant considérer comment le contenu performe dans les systèmes génératifs, comment il est récupéré, interprété et finalement cité. Ceux qui adaptent leur stratégie à ce modèle en deux étapes, optimisant d'abord pour la récupération puis pour l'alignement, façonneront la façon dont l'information est mise en avant et fait confiance à l'ère de la recherche alimentée par l'IA.
Questions Fréquemment Posées
Quel est le facteur le plus important pour le classement dans ChatGPT ? ▼
L'Adéquation Contenu-Réponse est le facteur le plus important, représentant 55% de la pertinence dans notre modèle. Votre contenu doit s'aligner avec la façon dont ChatGPT formule ses réponses - correspondre à la structure, au phrasé et aux modèles de raisonnement que le modèle utilise lors de la réponse aux requêtes.
Comment l'autorité du domaine affecte-t-elle les citations ChatGPT ? ▼
L'autorité du domaine (12% de pertinence) influence principalement la récupération plutôt que la citation. Les domaines à haute autorité sont plus susceptibles d'être trouvés par le moteur de recherche de ChatGPT, mais une fois récupérés, les décisions de citation dépendent davantage de l'alignement du contenu et de la structure.
Qu'est-ce que l'Adéquation Contenu-Réponse dans l'optimisation ChatGPT ? ▼
L'Adéquation Contenu-Réponse mesure à quel point votre contenu s'aligne avec le style de réponse propre à ChatGPT. Lorsque la structure de votre page, le ton et le phrasé reflètent la façon dont ChatGPT écrit, votre probabilité d'être cité augmente considérablement. Il s'agit de correspondre aux modèles explicatifs de l'IA.
Comment cette étude de classement ChatGPT a-t-elle été menée ? ▼
Nous avons analysé plus de 400 000 URLs sur 10 000 requêtes en utilisant les APIs ChatGPT. Chaque prompt a été répété 10 fois pour la signification statistique. Nous avons extrait plus de 70 caractéristiques par page et entraîné un modèle d'apprentissage automatique qui a atteint un score F1 de 74% dans la prédiction des citations.
Quel rôle joue la structure on-page dans les classements ChatGPT ? ▼
La structure on-page représente 14% de la pertinence prédictive. ChatGPT favorise les pages avec des hiérarchies H1/H2/H3 claires, un formatage cohérent et une longueur de contenu équilibrée. Le contenu bien structuré est plus facile pour le modèle à analyser, résumer et citer avec précision.
Comment puis-je suivre mes classements ChatGPT ? ▼
Utilisez des outils spécialisés comme le Tracker ChatGPT de Sellm pour surveiller la visibilité de votre marque et la fréquence de citation dans les réponses ChatGPT. Le suivi régulier vous aide à comprendre quelles stratégies de contenu fonctionnent et où des améliorations sont nécessaires.
Le SEO traditionnel compte-t-il encore pour ChatGPT ? ▼
Oui, les fondamentaux SEO traditionnels (pertinence de la requête, autorité du domaine, SEO technique) restent importants pour le stade de récupération. Cependant, ils ne suffisent pas pour les citations. Vous devez optimiser à la fois pour la récupération (SEO traditionnel) et pour la citation (Adéquation Contenu-Réponse et structure).
Prêt à Optimiser pour ChatGPT ?
Suivez la visibilité de votre marque dans les réponses ChatGPT et obtenez des aperçus exploitables pour améliorer vos classements de recherche IA.
Essayer le Tracker ChatGPT de Sellm